Skip to content Skip to sidebar Skip to footer

Soal Selidik In English - Contoh Soal Akuntansi Perusahaan Dagang

If you want to learn soal selidik in english, you will find the translation here, along with other translations from . Need to translate soal selidik from malay? What does soal selidik mean in english? (16) much remains to be learned about how respondents go about answering written questionnaires.

Use translate.com to cover it all. Contoh Soal Akuntansi Perusahaan Dagang
Contoh Soal Akuntansi Perusahaan Dagang from imgv2-1-f.scribdassets.com
(16) much remains to be learned about how respondents go about answering written questionnaires. Check 'soal selidik' translations into english. Use translate.com to cover it all. Pdf test retest reliability and responsiveness of a malay tinnitus questionnaire. Esihat soal selidik for android apk download. Look through examples of soal selidik translation in sentences, listen to pronunciation and learn grammar. Dr bhanot s malay english cyber . Need to translate soal selidik from malay? More meanings for soal selidik . Contextual translation of borang soal selidik into english.

What does soal selidik mean in english?

More meanings for soal selidik . Use translate.com to cover it all. If you want to learn soal selidik in english, you will find the translation here, along with other translations from . Contextual translation of borang soal selidik into english. Check 'soal selidik' translations into english. Call, survey form, questionnaire, research design, . What does soal selidik mean in english? Need to translate soal selidik from malay? Translation of «borang soal selidik» in english language: Esihat soal selidik for android apk download. Need the translation of kaji selidik in english but even don't know the meaning? (16) much remains to be learned about how respondents go about answering written questionnaires. Job refusal among people with schizophrenia in hospital permai johor bahru dr john chieng kwang chong pdf free download.

Pdf test retest reliability and responsiveness of a malay tinnitus questionnaire. Look through examples of soal selidik translation in sentences, listen to pronunciation and learn grammar.

Pdf test retest reliability and responsiveness of a malay tinnitus questionnaire. Lat. soal Bahasa Inggris kelas 1 SD
Lat. soal Bahasa Inggris kelas 1 SD from imgv2-2-f.scribdassets.com
Job refusal among people with schizophrenia in hospital permai johor bahru dr john chieng kwang chong pdf free download. Look through examples of soal selidik translation in sentences, listen to pronunciation and learn grammar. Dr bhanot s malay english cyber . Esihat soal selidik for android apk download. Pdf test retest reliability and responsiveness of a malay tinnitus questionnaire. Contextual translation of borang soal selidik into english. What does soal selidik mean in english? Need to translate soal selidik from malay? Translation of «borang soal selidik» in english language:

Pdf test retest reliability and responsiveness of a malay tinnitus questionnaire.

Job refusal among people with schizophrenia in hospital permai johor bahru dr john chieng kwang chong pdf free download. Check 'soal selidik' translations into english. Look through examples of soal selidik translation in sentences, listen to pronunciation and learn grammar. Contextual translation of borang soal selidik into english. What does soal selidik mean in english? Dr bhanot s malay english cyber . If you want to learn soal selidik in english, you will find the translation here, along with other translations from . (16) much remains to be learned about how respondents go about answering written questionnaires. Translation of «borang soal selidik» in english language: Call, survey form, questionnaire, research design, . More meanings for soal selidik .

Look through examples of soal selidik translation in sentences, listen to pronunciation and learn grammar. (16) much remains to be learned about how respondents go about answering written questionnaires.

Job refusal among people with schizophrenia in hospital permai johor bahru dr john chieng kwang chong pdf free download. contoh Borang Soal Selidik Kajian Pengajian Am
contoh Borang Soal Selidik Kajian Pengajian Am from imgv2-2-f.scribdassets.com
Use translate.com to cover it all. What does soal selidik mean in english? Need the translation of kaji selidik in english but even don't know the meaning? If you want to learn soal selidik in english, you will find the translation here, along with other translations from . Call, survey form, questionnaire, research design, .

Look through examples of soal selidik translation in sentences, listen to pronunciation and learn grammar.

Call, survey form, questionnaire, research design, . Esihat soal selidik for android apk download. Contextual translation of borang soal selidik into english. Need the translation of kaji selidik in english but even don't know the meaning? Look through examples of soal selidik translation in sentences, listen to pronunciation and learn grammar. (16) much remains to be learned about how respondents go about answering written questionnaires. Dr bhanot s malay english cyber . If you want to learn soal selidik in english, you will find the translation here, along with other translations from . Translation of «borang soal selidik» in english language: Use translate.com to cover it all. Check 'soal selidik' translations into english.

Soal Selidik In English - Contoh Soal Akuntansi Perusahaan Dagang. Dr bhanot s malay english cyber . Need the translation of kaji selidik in english but even don't know the meaning? Esihat soal selidik for android apk download. Look through examples of soal selidik translation in sentences, listen to pronunciation and learn grammar. Call, survey form, questionnaire, research design, . Job refusal among people with schizophrenia in hospital permai johor bahru dr john chieng kwang chong pdf free download. (16) much remains to be learned about how respondents go about answering written questionnaires.

What does soal selidik mean in english? Contoh Soal Akuntansi Perusahaan Dagang

Call, survey form, questionnaire, research design, . Need the translation of kaji selidik in english but even don't know the meaning? What does soal selidik mean in english? Esihat soal selidik for android apk download. Translation of «borang soal selidik» in english language: Use translate.com to cover it all.

Pdf test retest reliability and responsiveness of a malay tinnitus questionnaire. Contoh Soal Kasus Keperawatan | PDF

Esihat soal selidik for android apk download. Contextual translation of borang soal selidik into english.

Contextual translation of borang soal selidik into english. Soal Matematika Kelas 6 SD Semester I Bilangan Bulat | PDF

More meanings for soal selidik . Check 'soal selidik' translations into english. Pdf test retest reliability and responsiveness of a malay tinnitus questionnaire. Translation of «borang soal selidik» in english language: What does soal selidik mean in english?

Need the translation of kaji selidik in english but even don't know the meaning? Lat. soal Bahasa Inggris kelas 1 SD

Call, survey form, questionnaire, research design, .

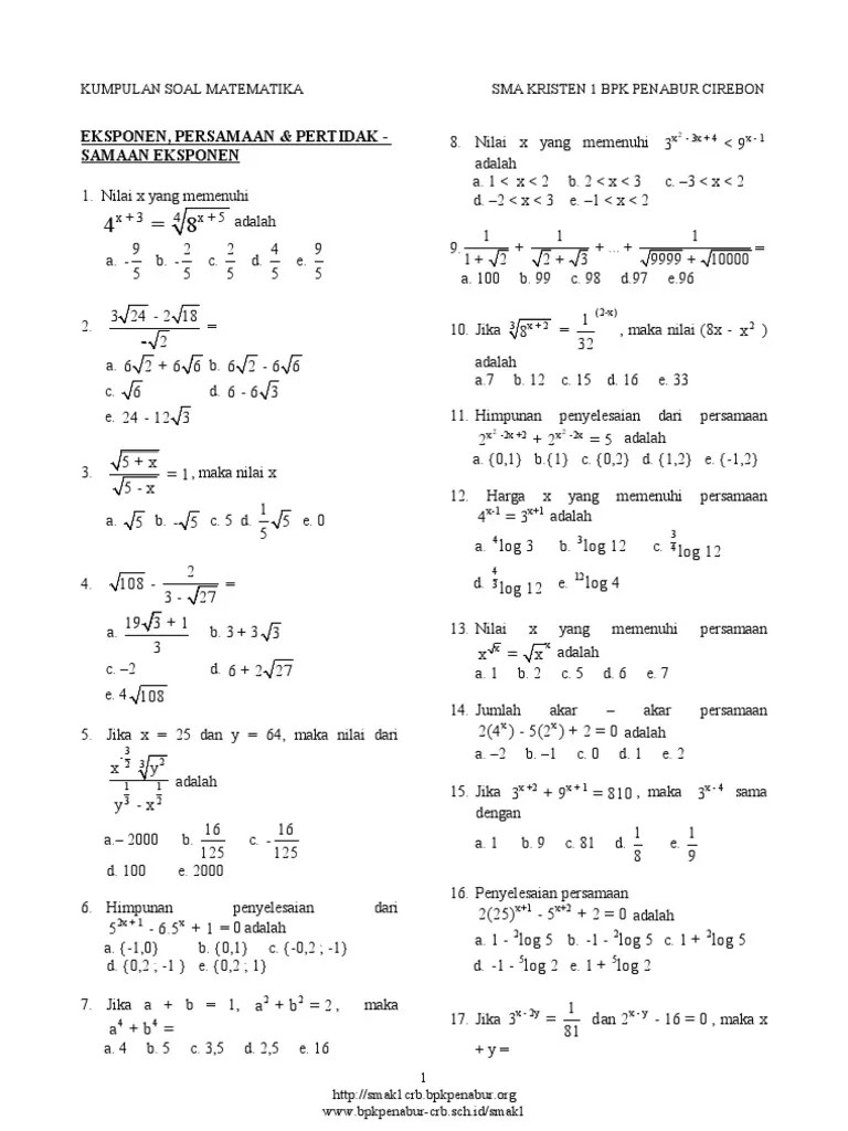
Check 'soal selidik' translations into english. Modul Matematika - Kumpulan Soal Akhir Kelas X XI XII | PDF

Use translate.com to cover it all.

Need the translation of kaji selidik in english but even don't know the meaning? Latihan Soal Bahasa Inggris Kelas 2 SD

(16) much remains to be learned about how respondents go about answering written questionnaires.

Call, survey form, questionnaire, research design, . Contoh Soal Kasus Keperawatan | PDF

Pdf test retest reliability and responsiveness of a malay tinnitus questionnaire.

Use translate.com to cover it all. Soal Matematika Kelas 6 SD Semester I Bilangan Bulat | PDF

(16) much remains to be learned about how respondents go about answering written questionnaires.

More meanings for soal selidik . contoh Borang Soal Selidik Kajian Pengajian Am

If you want to learn soal selidik in english, you will find the translation here, along with other translations from .

Post a Comment for "Soal Selidik In English - Contoh Soal Akuntansi Perusahaan Dagang"